根据《成都信息工程大学2024年硕士研究生招生复试调剂录取工作办法》有关规定,经学院硕士研究生招生工作小组研究,2024年公司本批次硕士研究生招生复试安排如下:
一、复试形式及时间
(1)复试形式为线下复试。
(2)考生应按照《伟德国际victor19462024年硕士研究生招生复试调剂录取工作办法》准备资格审查所需材料
(3)4月10日10时—14时,在伟德国际victor1946航空港校区信息楼415室报到。
(4)考生逾期未报到,学院将按照《伟德国际victor19462024年硕士研究生招生复试录取工作办法》取消其复试资格。
二、缴费
(1)普通考生120元/人,同等学力200元/人。
(2)缴费方式为:考生利用手机微信,搜索“校园安心付”微信小程序进行缴费。缴费考生的学号为:复试学院代码+报名号,共12位数字。
(3)考生自行在网上进行缴费,复试报到时向工作人员出示缴费结果。
三、笔试
(1)专业课考试安排在4月10日14时30分—17时30分第四教学楼H4112室进行;
(2)笔试为闭卷考试。考生持加盖学院公章的《准考证》、身份证参加考试。考试全程进行录音录像。
(3)开考15分钟后,迟到考生不得进入考场参加当科考试。
四、综合面试
(1)综合面试时间:4月11日09时—4月11日18时
(2)综合面试分组及地点见报到后学院张贴公告。
五、体检
(1)考生体检工作在拟录取后进行。
(2)在二级甲等以上医院体检(1寸照片贴体检表)。在学校拟录取公示期内向学院提交盖医院公章的电子版体检结果。
(3)提交邮箱:qkl@cuit.edu.cn
联系老师:苏老师,范老师
六、成绩公布及拟录取手续办理
(1)成绩公布时间为:4月11日至4月12日
(2)成绩公布方式:本学院网站
(3)学校将根据《成都信息工程大学2024年硕士研究生招生复试调剂录取工作办法》对考生进行排名并确定本批次拟录取名单,最迟于次日向考生发送待录取通知,届时考生将收到研招网短信通知。
(4)第一志愿考生仅需登录研招网查看待录取结果;调剂录取考生须在收到研招网待录取短信通知尽快接受待录取。
七、联系方式
电 话:028-85783507
联系人:苏老师,范老师
八、举报监督方式
联系电话:028—85966475,电子邮箱:jwbgs@cuit.edu.cn,联系地址:四川省成都市西南航空港经济开发区学府路一段24号(邮编610225)
九、考生注意事项
(1)报考非全日制专业的考生,请认真查看公司专业目录公布的学习安排时间,学校将严格授课考勤纪律。
(2)4月30日前,考生不能以任何方式在任何渠道讨论、散布跟复试题目相关的任何信息,否则学院可以取消其复试成绩。如有问题可以咨询学院联系老师。
(3)在复试的笔试、面试期间,考生不得携带手机等电子设备进入笔试和面试的考场。
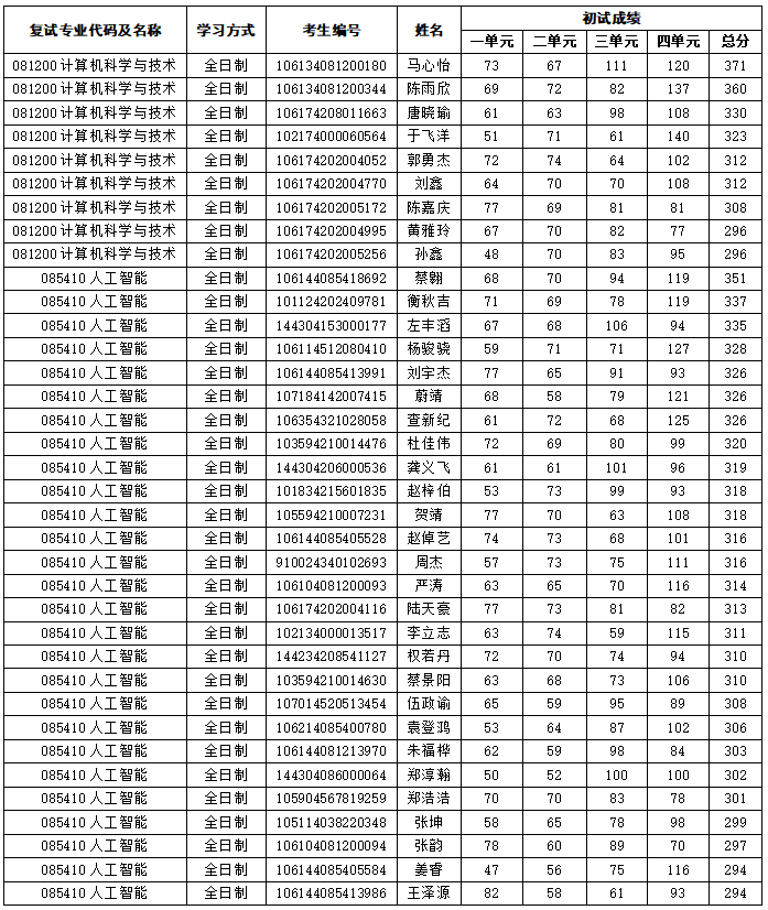
十、本批次复试考生名单

区块链产业公司
2024年4月9日